09 de setembro de 2015
CONFAZ divulga preço médio ponderado ao consumidor final de combustíveis
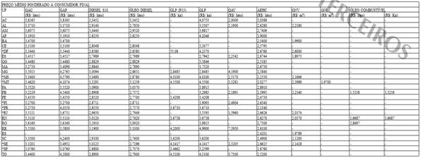
O Conselho Nacional de Política Fazendária (CONFAZ) publicou, no Diário Oficial da União (DOU) desta 4ª feira (09/09), o Ato COTEPE/PMPF nº 18, de 8 de setembro de 2015, que divulga o preço médio ponderado ao consumidor final (PMPF) de combustíveis.
A divulgação desses valores atende ao disposto nos Convênios ICMS 138/06 e 110/07.
Seguem os valores:
Veja a íntegra do Ato COTEPE/PMPF nº 18/2015.




